专业、人数、学费出炉!河南多所高校公布招生计划!
2025年河南省高职单招49所高校公布高职单招招生专业、人数、学费快来看看
01
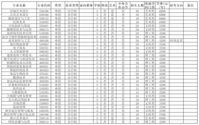
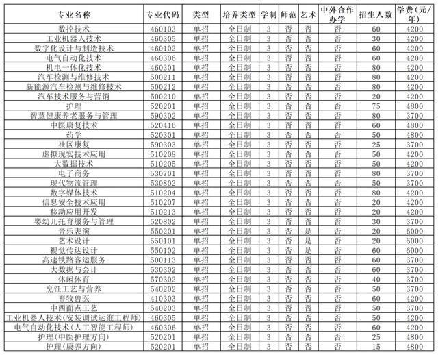
郑州工业应用技术学院
02
黄河交通学院
03
商丘工学院
04
安阳学院
05
商丘学院
学校2025年单独考试招生计划2940人,其中商丘校区招生计划1700人,招生专业18个;开封校区招生计划1240人,招生专业12个。
商丘校区招生计划中含有退役士兵单列计划30人、免试技能拔尖人才单列计划20人,学校招生计划可根据各类别考生报考情况按比例进行划分。最终各专业招生计划以上级招生管理部门公布为准。
06
郑州西亚斯学院
学校2025年高职单招计划100人:舞蹈表演专业计划60人、社会体育专业计划40人。
07
三门峡职业技术学院
08
焦作大学
09
濮阳职业技术学院
10
焦作师范高等专科学校
11
许昌职业技术学院
12
河南水利与环境职业学院
13
鹤壁职业技术学院
14
河南工业职业技术学院
15
河南质量工程职业学院
16
郑州信息科技职业学院
17
嵩山少林武术职业学院
18
郑州工业安全职业学院
19
河南交通职业技术学院
20
河南农业职业学院
21
河南信息统计职业学院
22
河南林业职业学院
23
河南建筑职业技术学院
24
许昌陶瓷职业学院
25
郑州理工职业学院
26
郑州信息工程职业学院
27
河南艺术职业学院
28
信阳涉外职业技术学院
29
鹤壁汽车工程职业学院
30
河南推拿职业学院
31
郑州幼儿师范高等专科学校
32
安阳幼儿师范高等专科学校
33
郑州财税金融职业学院
34
洛阳科技职业学院
35
平顶山文化艺术职业学院
36
驻马店幼儿师范高等专科学校
37
三门峡社会管理职业学院
38
河南轻工职业学院
39
河南测绘职业学院
40
郑州卫生健康职业学院
41
河南地矿职业学院
42
南阳科技职业学院
43
林州建筑职业技术学院
44
郑州电子商务职业学院
45
郑州体育职业学院
46
信阳艺术职业学院
47
平顶山职业技术学院
48
商丘工学院
49
郑州城市职业学院
来源 | 河南教育广播监制 | 李金锋 李洁敏
主编 | 彭丹
编辑 | 蒋黎明


还没有评论,来说两句吧...